Log 64 base 2 519851-Log 64 base 2 root 2
Solved Use The Change Of Base Formula To Evaluate The Chegg Com
The Logarithm is an exponent or power to which a base must be raised to obtain a given number Mathematically, Logarithms are expressed as, m is the Logarithm of n to the base b if \b^{m} = n\, which can also be written as m = log b n For example, \4^{3} = 64\;LOGARITHM PROBLEMS Find the logarithm of 64 to the base 2√2 Write 64 as in terms of 2√2 If a = log2412, b = log3624 and c = log46, then find the value of (1 abc) in terms of b and c Find the value of log to the base 01 If 2logx =
Log 64 base 2 root 2
Log 64 base 2 root 2-The following is the rule that is needed log a c= log a b log b c 1 Proof of the above rule Section 8 Change of Bases 13 The most frequently used form of the rule is obtained by rearranging the rule on the previous page We have log a c= log aTo evaluate the logarithm of 64 to the base 2(2)½, we need to recall the formula to transform logarithm from a known base a to another base b The formula is log N to the base b = (1/logₐb) x logₐN where N is any number whose logarithm to base b is required
Logarithms
Answer (1 of 3) log 64 to the base sqrt(2) =log 64/log√2 =log 2^6 / log 2^(1/2) =6 * log 2 / (1/2)* log 2 =6 / (1/2) =6*2 =12Algebra > Logarithm Solvers, Trainers and Word Problems > SOLUTION write in exponential formlog2 64=6 write in exponential form log1/4 64=3 write in log form 5^2=25 write in log form 3^3=1/27 Log OnThe base 2 logarithm of 4 is 2, because 2 raised to the power of 2 is 4 log 3 9 = 2, because 3 2 = 9 This is an example of a base3 logarithm We call it a base3 logarithm because 3 is the number that is raised to a power The most common logarithms are natural logarithms and base 10 logarithms There are special notations for them
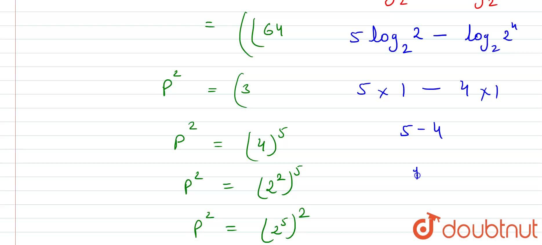
Log of 64 with base 2 If we calculate the log of 64 with base 2 then, x will be 64 and b will be 2 After substituting the values in the log equation, it will become y = l o g 2 (64) y = log_2 (64) y = l o g 2 (6 4) Change y as the power of the base 2, as written below 2^y = 64 After simplifying further, 2 y = 2 6 ∵ y = 6 2^y = 2^6Solve your math problems using our free math solver with stepbystep solutions Our math solver supports basic math, prealgebra, algebra, trigonometry, calculus and moreEvaluate log base 8 of 64 Rewrite as an equation Rewrite in exponential form using the definition of a logarithm If and are positive real numbers and does not equal , then is equivalent to Create expressions in the equation that all have equal bases Rewrite as
Log 64 base 2 root 2のギャラリー
各画像をクリックすると、ダウンロードまたは拡大表示できます
![]() Log Base 4 Of 64 Detailed Login Instructions Loginnote | ![]() Log Base 4 Of 64 Detailed Login Instructions Loginnote | ![]() Log Base 4 Of 64 Detailed Login Instructions Loginnote |
![]() Log Base 4 Of 64 Detailed Login Instructions Loginnote | ![]() Log Base 4 Of 64 Detailed Login Instructions Loginnote | ![]() Log Base 4 Of 64 Detailed Login Instructions Loginnote |
![]() Log Base 4 Of 64 Detailed Login Instructions Loginnote | ![]() Log Base 4 Of 64 Detailed Login Instructions Loginnote | ![]() Log Base 4 Of 64 Detailed Login Instructions Loginnote |
![]() Log Base 4 Of 64 Detailed Login Instructions Loginnote | ![]() Log Base 4 Of 64 Detailed Login Instructions Loginnote | Log Base 4 Of 64 Detailed Login Instructions Loginnote |
![]() Log Base 4 Of 64 Detailed Login Instructions Loginnote | ![]() Log Base 4 Of 64 Detailed Login Instructions Loginnote | ![]() Log Base 4 Of 64 Detailed Login Instructions Loginnote |
Log Base 4 Of 64 Detailed Login Instructions Loginnote | Log Base 4 Of 64 Detailed Login Instructions Loginnote | ![]() Log Base 4 Of 64 Detailed Login Instructions Loginnote |
Log Base 4 Of 64 Detailed Login Instructions Loginnote | Log Base 4 Of 64 Detailed Login Instructions Loginnote | ![]() Log Base 4 Of 64 Detailed Login Instructions Loginnote |
Log Base 4 Of 64 Detailed Login Instructions Loginnote | Log Base 4 Of 64 Detailed Login Instructions Loginnote | ![]() Log Base 4 Of 64 Detailed Login Instructions Loginnote |
Log Base 4 Of 64 Detailed Login Instructions Loginnote | Log Base 4 Of 64 Detailed Login Instructions Loginnote | Log Base 4 Of 64 Detailed Login Instructions Loginnote |
Log Base 4 Of 64 Detailed Login Instructions Loginnote | ![]() Log Base 4 Of 64 Detailed Login Instructions Loginnote | ![]() Log Base 4 Of 64 Detailed Login Instructions Loginnote |
![]() Log Base 4 Of 64 Detailed Login Instructions Loginnote | ![]() Log Base 4 Of 64 Detailed Login Instructions Loginnote | ![]() Log Base 4 Of 64 Detailed Login Instructions Loginnote |
![]() Log Base 4 Of 64 Detailed Login Instructions Loginnote | Log Base 4 Of 64 Detailed Login Instructions Loginnote | ![]() Log Base 4 Of 64 Detailed Login Instructions Loginnote |
![]() Log Base 4 Of 64 Detailed Login Instructions Loginnote | Log Base 4 Of 64 Detailed Login Instructions Loginnote | Log Base 4 Of 64 Detailed Login Instructions Loginnote |
Log Base 4 Of 64 Detailed Login Instructions Loginnote | Log Base 4 Of 64 Detailed Login Instructions Loginnote | ![]() Log Base 4 Of 64 Detailed Login Instructions Loginnote |
![]() Log Base 4 Of 64 Detailed Login Instructions Loginnote | ![]() Log Base 4 Of 64 Detailed Login Instructions Loginnote | Log Base 4 Of 64 Detailed Login Instructions Loginnote |
![]() Log Base 4 Of 64 Detailed Login Instructions Loginnote | Log Base 4 Of 64 Detailed Login Instructions Loginnote | ![]() Log Base 4 Of 64 Detailed Login Instructions Loginnote |
![]() Log Base 4 Of 64 Detailed Login Instructions Loginnote | Log Base 4 Of 64 Detailed Login Instructions Loginnote | ![]() Log Base 4 Of 64 Detailed Login Instructions Loginnote |
![]() Log Base 4 Of 64 Detailed Login Instructions Loginnote | Log Base 4 Of 64 Detailed Login Instructions Loginnote | ![]() Log Base 4 Of 64 Detailed Login Instructions Loginnote |
![]() Log Base 4 Of 64 Detailed Login Instructions Loginnote | ![]() Log Base 4 Of 64 Detailed Login Instructions Loginnote | Log Base 4 Of 64 Detailed Login Instructions Loginnote |
Log Base 4 Of 64 Detailed Login Instructions Loginnote | ![]() Log Base 4 Of 64 Detailed Login Instructions Loginnote | Log Base 4 Of 64 Detailed Login Instructions Loginnote |
![]() Log Base 4 Of 64 Detailed Login Instructions Loginnote | ![]() Log Base 4 Of 64 Detailed Login Instructions Loginnote | Log Base 4 Of 64 Detailed Login Instructions Loginnote |
![]() Log Base 4 Of 64 Detailed Login Instructions Loginnote | ![]() Log Base 4 Of 64 Detailed Login Instructions Loginnote | ![]() Log Base 4 Of 64 Detailed Login Instructions Loginnote |
![]() Log Base 4 Of 64 Detailed Login Instructions Loginnote | ![]() Log Base 4 Of 64 Detailed Login Instructions Loginnote | ![]() Log Base 4 Of 64 Detailed Login Instructions Loginnote |
![]() Log Base 4 Of 64 Detailed Login Instructions Loginnote | ![]() Log Base 4 Of 64 Detailed Login Instructions Loginnote | ![]() Log Base 4 Of 64 Detailed Login Instructions Loginnote |
![]() Log Base 4 Of 64 Detailed Login Instructions Loginnote | Log Base 4 Of 64 Detailed Login Instructions Loginnote | ![]() Log Base 4 Of 64 Detailed Login Instructions Loginnote |
![]() Log Base 4 Of 64 Detailed Login Instructions Loginnote | ![]() Log Base 4 Of 64 Detailed Login Instructions Loginnote | ![]() Log Base 4 Of 64 Detailed Login Instructions Loginnote |
![]() Log Base 4 Of 64 Detailed Login Instructions Loginnote | Log Base 4 Of 64 Detailed Login Instructions Loginnote | ![]() Log Base 4 Of 64 Detailed Login Instructions Loginnote |
Log Base 4 Of 64 Detailed Login Instructions Loginnote | ![]() Log Base 4 Of 64 Detailed Login Instructions Loginnote | ![]() Log Base 4 Of 64 Detailed Login Instructions Loginnote |
Log Base 4 Of 64 Detailed Login Instructions Loginnote | Log Base 4 Of 64 Detailed Login Instructions Loginnote | ![]() Log Base 4 Of 64 Detailed Login Instructions Loginnote |
![]() Log Base 4 Of 64 Detailed Login Instructions Loginnote | ![]() Log Base 4 Of 64 Detailed Login Instructions Loginnote | ![]() Log Base 4 Of 64 Detailed Login Instructions Loginnote |
![]() Log Base 4 Of 64 Detailed Login Instructions Loginnote | ![]() Log Base 4 Of 64 Detailed Login Instructions Loginnote | ![]() Log Base 4 Of 64 Detailed Login Instructions Loginnote |
Log Base 4 Of 64 Detailed Login Instructions Loginnote | Log Base 4 Of 64 Detailed Login Instructions Loginnote | ![]() Log Base 4 Of 64 Detailed Login Instructions Loginnote |
Log Base 4 Of 64 Detailed Login Instructions Loginnote | ![]() Log Base 4 Of 64 Detailed Login Instructions Loginnote | ![]() Log Base 4 Of 64 Detailed Login Instructions Loginnote |
![]() Log Base 4 Of 64 Detailed Login Instructions Loginnote | ![]() Log Base 4 Of 64 Detailed Login Instructions Loginnote | ![]() Log Base 4 Of 64 Detailed Login Instructions Loginnote |
![]() Log Base 4 Of 64 Detailed Login Instructions Loginnote | ![]() Log Base 4 Of 64 Detailed Login Instructions Loginnote |
Work with Steps The below is the work with steps to find what is log base 2 of 512 shows how the input values are being used in the log base 2 functions Formula log b (x) = y, if b y = x Input simplify 213 in base 4 multiply by 23 in base 4?
Incoming Term: log 64 base 2, log 64 base 2 root 2, log base 64 2/3, log 1/64 base 2, log base 64 x = 2/6, log base 64 of 256, log base 64 x = 1/2, log base 2 times 64, 2 log base 64 8, calculate log base 2 64,






































































コメント
コメントを投稿